Microcistinas durante el proceso de análisis de agua
La eutrofización de nuestros acuíferos es cada vez más frecuente debido a diferentes causas relacionadas con el uso intensivo de fertilizantes y otros contaminantes, así como los cambios climáticos que estamos experimentando. La proliferación de algas como las cianobacterias productoras de toxinas supone un riesgo para la salud de los animales y las personas que también podemos estar expuestos a través del consumo de agua y de productos de origen vegetal en los que se ha podido utilizar agua de riego contaminada. Algunas cianobacterias pueden producir toxinas y se ha estimado que un 50% de los afloramientos de cianobacterias son tóxicos. Las microcistinas son las toxinas más habitualmente encontradas en dichos afloramientos, pero también pueden aparecer anatoxina-a, cilindrospermosina y saxitoxina. La Organización Mundial de la Salud (OMS) estableció un valor guía de 1 μg/L de microcistina-LR para agua potable al considerar esta variante como la más habitual y tóxica. Este valor límite fue incluido en la legislación española con el Real Decreto 140/2003 y más recientemente ha sido incorporado a la legislación europea a través de la Directiva (UE) 2020/2184 relativa a la calidad de las aguas destinadas al consumo humano.
Por lo tanto, el control de la proliferación de algas y la presencia de toxinas en los embalses que se usan para el abastecimiento de agua potable o para uso con fines recreativos es una práctica generalizada. También se debe analizar la presencia de microcistinas en el agua potabilizada a la salida de las ETAP. Para el análisis de microcistinas en agua existen diferentes métodos de análisis como los ensayos de Inhibición de la Fosfatasa (PPIA) y ELISA y métodos instrumentales como HPLC y LC-MS. Sin embargo, todos ellos tienen en común que la toma de las muestras y su conservación se debe de hacer de forma adecuada.
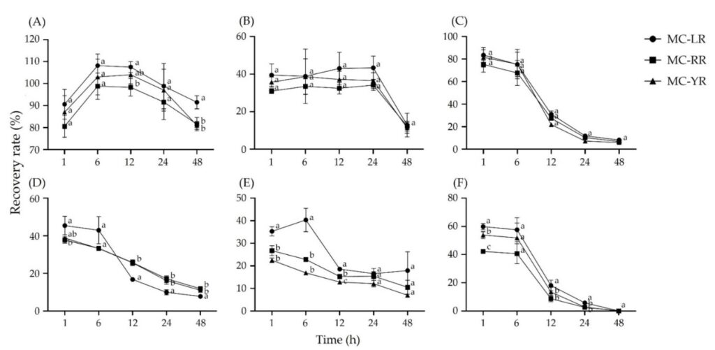
Recientemente, se ha publicado un trabajo (Seo et al 2022) en el que se evalúa el impacto del tipo de material de los envases de plástico usados en el análisis de microcistinas sobre la adsorción o recuperación de las toxinas. En este trabajo se usaron 3 variantes de microcistina (LR, RR, YR) como las más representativas y 6 tipos de plástico (PET, PP, PFA, PS, HDPE y LDPE).

Recuperación de 3 variantes de microcistina expuestas a 6 tipos de material plástico usado en los recipientes de conservación de las muestras. (A) PET: tereftalato de polietileno; (B) PP: polipropileno; (C) PFA: perfluoroalcoxi; (D) LDPE: polietileno baja densidad; (E) HDPE: polietileno de alta densidad; y (F) PS: polipropileno.
El PET mostró la mejor recuperación de las microcistinas tras 48 horas de exposición (91.5%), mientras que con el resto de materiales la recuperación fue inferior al 20% en el mismo tiempo. Con la excepción del PET, las recuperaciones para las 3 microcistinas fueron, en general, menores del 40% con todos los tipos de plástico evaluados.
Estos resultados evidencian que el uso de determinados envases durante la conservación de las muestras y en algunas de las etapas del proceso analítico pueden tener un impacto muy significativo sobre la cuantificación de microcistinas, generando una infraestimación de la concentración real en la muestra analizada.
En ZEULAB contamos con kits para el análisis de microcistinas basados en la técnica de la inhibición de la fosfatasa (PPIA) muy sencillos de usar y con resultados en tan solo 30 min. Desde ZEULAB podemos ayudar a implantar la metodología más adecuada para cada situación y asesorar en todos los aspectos relacionados con dichos análisis.
Seo, C.; Lee, J.W.; Jung, W.-K.; Lee, Y.-M.; Lee, S.; Lee, S.G. (2022). Examination of Microcystin Adsorption by the Type of Plastic Materials Used during the Procedure of Microcystin Analysis. Toxins, 14, 625. https://doi.org/10.3390/toxins14090625
Smienk, H. G. F.; Sevilla, E.; Peleato, M. L.; Razquin, P.; Mata L. (2007). Validación de un kit para la detección de microcistinas en agua. Alimentaria: Revista de tecnología e higiene de los alimentos, 385, 104-111.

